12月25日上午,深圳福彩组织的“双色球大派对·乐享奖上奖”活动在深圳福彩中心进行了第六期公开抽奖,也是此次活动最后一期抽奖。在媒体代表、投注站业主代表、彩民代表及工作人员的共同见证下,由彩民代表按照活动公布的规则随机抽出25位幸运儿,他们将获得由深圳福彩中心送出的5G手机各一台。请中奖者在本期抽奖后一周内携带有效身份证及参与抽奖的彩票原件到深圳福彩中心领取奖品。
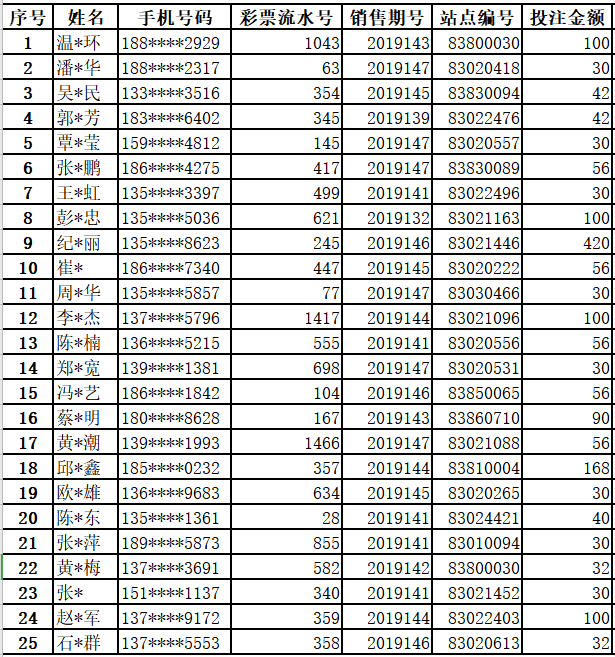
一起来关注中奖名单!

据悉,本次活动深受彩民欢迎,该活动从2019年11月10日开始至12月24日结束,分6期进行抽奖,共送出115台手机。第六期共有49349条报名信息,活动期内六期参加抽奖的报名信息总共有276523条。彩民代表包先生来到抽奖现场,按照活动公布的规则,包先生随机抽出了25位幸运儿。据了解,包先生是福利彩票的忠实粉丝,购买福利彩票十几年了,投注金额不多,每期都买上20元左右,虽然还没有中过大奖,但是小奖不断。“今天是圣诞节,通过我的手产生了25名幸运儿,虽然没有抽中自己,但是能来到现场参加抽奖,很高兴!” 包先生笑着说道,他表示购买彩票成为了日常生活的一部分,以后会继续购买,既做了一份公益,还能等待一份希望,希望有一天自己也能中个大奖。
扫描二维码关注
福彩服务号
扫描二维码下载
福彩APP
扫描二维码
关注福彩
服务号
扫描二维码
下载福彩
APP
扫描二维码
下载i深圳
APP